Enfriate y acelera tu recuperacion muscular


… la recuperacion con frio, y hielo, Ice Bath, es algo que esta hoy dia de moda, pero cual es la evidencia cientica de este tratamiento post esfuerzo?? van de la mano la recuperacion metabolica, y la recuperacion funcional??? son preguntas que ahora tienen una mejor respuesta, o por lo menos mas cercana gracias a los cientificos de la Instituto nacional del deporte, en Francia, quienes han publicado este mes en European Journal APliedd Physilogy, sobre 4 protocolos de recuperacion inmediata post esfurzo y su efecto inmediato , a la hora y 24 horas despues..
..los protocolos fueron los siguientes:
•TWI: Inmersion en Agua a temperatura corporal (36 C) durante 15′;
•CWI: Inmersion en agua fria (10 C) durante 15′
•CWT: COntraste con temperatura de agua en 10º y 42º alteranando 1’30” durante 15′
•PAS: Recuperacion pasiva, sin inmersion.
..los sujetos valorados fueron todos, deportistas de elite de futbol, rugby, y voley ball, con los cual los resultados serviarian para observar depsortistas que ya de por si son capaces de recuperar de una forma mas acelerada..
..Para valorar la recuperacion funcional, se evaluó la potencia maxima media de remo durante 30”, la MVC( fuerza maxima de contraccion voluntaria) y CMJ, altura de salto, con contramovimiento, previamente, post esfuerzo 1h y post esfuerzo 24h! Y para valorar la recuperacion metabolica se analizo la CK, creatinkinasa, marcador del daño muscular.
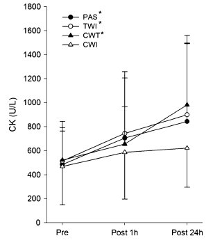
…La evidencia fue efectivamente como podemos pensar que a nivel metabolico la recuperacion mas acelerada fue la del baño con imersion en frio 10º durante 15′, pero no es que fuera la mas acelerada es que hablamos de que a la hora(como se puede ver en la grafica) ya habia detenido el aumento de CK, mientras que en el resto de metodos recuepradores , seguia subiendo el resto del dia…
m
..si hablamos de funcionalidad, la cosa ya no es tan evidente, por lo que podemos intuir que recuperacion metabolica, y funcional no van de la mano, a pesar de que tambien es aqui donde tambien muestra las mejores prestaciones, pero seguido de creca de los baños de contraste, que por ejemplo, si hablamos de la Potencia Media de remo durante 30”, el Baño de contraste es mas efectivo a la 1h!!! mientras que los baños de hielo valorando la recuperacion funcional a la hora, son mas efectivos para los movimientos de fuerza valorados, como el Salto en contramovimiento, y el la fuerza maxima voluntaria.

La conclusion que podemos extraer es que para regenerar muscularmente a nivel interno, FRIO! 15′ a 10º!acelerara la recuperacion mas de doble,y nos servira para esfuerzos donde el objetivo sea un salto o un trabajo de fuerza maxima, si por contra el objetivo es recuperar para estar disponible en rendimiento a la hora de haber realizado otro gran esfuerzo, la cosa cambia, si el objetivo es un trabajo ciclico de caracter anaerobico,como mantener la maxima potencia durante 30”. recuperacion con contrastes de frio calor- 42º y 10º alternando 1’30” y 1’30” durante 15′.

1 Respuesta a "Enfriate y acelera tu recuperacion muscular"

  1. roman says:

    Hola, que tal… entreno a un equipo de rugby y me genera una duda a la hora de elongar despues de un partido. la teoria con la que acuerdo es la siguiente: un partido de rugby, genera tensiones tan altas, que los musculos reciben rupturas tantas rupturas de miofibrillas, que luego del partido si estiramos esos musculos, es factible que se rompan mas!. Ya que una fibra muscular por ejemplo es como una goma de bicicleta, que si tiene uno o varios pinchazos, la misma se romperia a un mas siendo estirada. por lo que prefiero hacer que mis jugadores se recuperen para un proximo entrenamiento en agua fria. Al no disponer de una pileta, solo utilizamos recipientes para sumergir los pies. Que opinas sobre ello? esta bien? Agradeceria mucho tu opinion. Gracias. Saludos!